-
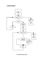
Viendimensiju masīva apstrāde
Darbu komplekts:
IZDEVĪGI pirkt komplektā ➞ ietaupīsi −3,77 €
-
Projektējuma apraksta dokuments
Paraugs12
- Tematiskais plāns lietišķajā informātikā
- Viendimensiju masīva apstrāde
Materiālu komplekts Nr. 1313781


