Pievienot darbus Atzīmētie0
Darbs ir veiksmīgi atzīmēts!

Atzīmētie darbi

Skatītie0

Skatītie darbi

Grozs0
Darbs ir sekmīgi pievienots grozam!

Grozs

Reģistrēties

interneta bibliotēka
Atlants.lv bibliotēka
Akcijas un īpašie piedāvājumi 2 Atvērt
  • Potenciometriska fosforskābes noteikšana "Coca-Cola" dzērienā

     

    Paraugs8 Ķīmija

7,49 € Ielikt grozā
Gribi lētāk?
Identifikators:205224
 
Autors:
Vērtējums:
Publicēts: 22.03.2018.
Valoda: Latviešu
Līmenis: Augstskolas
Literatūras saraksts: 2 vienības
Atsauces: Nav
Darba fragmentsAizvērt

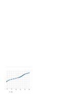
Rezultāti un to izvērtējums:
Noteiktā fosforskābes masas koncentrācija pēc logaritmiskās līknēm ir (555±8) mg/mL un pēc diferencētām līknēm (564±15) mg/mL. Abi rezultāti iekļaujās gan viens otrā drošības intervālā, gan literatūrā norādītajā intervālā, kas ir no 106 līdz 688 mg/mL. Pēc drošības intervālu un standartnoviržu lielumiem var secināt, ka darbs tika veikts precīzi. Drošības intervāls no iegūtā rezultāta pēc logaritmiskām līknēm ir 1,44% liels, savukārt pēc diferencētām līknēm – 2,66% liels, no kā var secināt, ka koncentrācijas precīzākai noteikšanai rezultātus ir jānolasa no logaritmiskām līknēm.

Secinājumi
1. Analizējamā Coca-Cola paraugā ortofosforskābes masas koncentrācija pēc logaritmiskās līknēm ir ir (555±8) mg/mL un pēc diferenciālām līknēm (564±15) mg/mL.
2. Ortofosforskābes koncentrāciju Coca-colā ir jānosaka pēc logaritmiskās līknēm.

Autora komentārsAtvērt
Darbu komplekts:
IZDEVĪGI pirkt komplektā ietaupīsi −7,98 €
Materiālu komplekts Nr. 1365528
Parādīt vairāk līdzīgos ...

Atlants

Izvēlies autorizēšanās veidu

E-pasts + parole

E-pasts + parole

Norādīta nepareiza e-pasta adrese vai parole!
Ienākt

Aizmirsi paroli?

Draugiem.pase
Facebook

Neesi reģistrējies?

Reģistrējies un saņem bez maksas!

Lai saņemtu bezmaksas darbus no Atlants.lv, ir nepieciešams reģistrēties. Tas ir vienkārši un aizņems vien dažas sekundes.

Ja Tu jau esi reģistrējies, vari vienkārši un varēsi saņemt bezmaksas darbus.

Atcelt Reģistrēties