Pievienot darbus Atzīmētie0
Darbs ir veiksmīgi atzīmēts!

Atzīmētie darbi

Skatītie0

Skatītie darbi

Grozs0
Darbs ir sekmīgi pievienots grozam!

Grozs

Reģistrēties

interneta bibliotēka
Atlants.lv bibliotēka
0,99 € Ielikt grozā
Gribi lētāk?
Identifikators:307082
 
Autors:
Vērtējums:
Publicēts: 05.03.2008.
Valoda: Latviešu
Līmenis: Augstskolas
Literatūras saraksts: Nav
Atsauces: Nav
Darba fragmentsAizvērt

Saimnieciskā darījuma apraksts (pasvītro atbilstošo un/vai norāda papildu informāciju):
piegāde, izsniegšana citam nodokļu maksātājam, pārvietošana
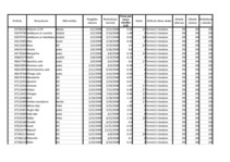
Artikuls Nosaukums Mērvienība

97632478 Gurķi KG
91933115 Zāles "Aktīvētās ogles" Paka
91976315 Apsveikumu kartiņas Paka
97132488 Omītes ievarījums Banka
97784217 Kabači KG
92979798 Baltmaize klaips
91316449 Degvīns Pudele
96637789 Apelsīnu sula paka

Autora komentārsAtvērt
Parādīt vairāk līdzīgos ...

Atlants

Izvēlies autorizēšanās veidu

E-pasts + parole

E-pasts + parole

Norādīta nepareiza e-pasta adrese vai parole!
Ienākt

Aizmirsi paroli?

Draugiem.pase
Facebook

Neesi reģistrējies?

Reģistrējies un saņem bez maksas!

Lai saņemtu bezmaksas darbus no Atlants.lv, ir nepieciešams reģistrēties. Tas ir vienkārši un aizņems vien dažas sekundes.

Ja Tu jau esi reģistrējies, vari vienkārši un varēsi saņemt bezmaksas darbus.

Atcelt Reģistrēties