Pievienot darbus Atzīmētie0
Darbs ir veiksmīgi atzīmēts!

Atzīmētie darbi

Skatītie0

Skatītie darbi

Grozs0
Darbs ir sekmīgi pievienots grozam!

Grozs

Reģistrēties

interneta bibliotēka
Atlants.lv bibliotēka
Akcijas un īpašie piedāvājumi 2 Atvērt
5,99 € Ielikt grozā
Gribi lētāk?
Identifikators:658945
 
Autors:
Vērtējums:
Publicēts: 07.08.2008.
Valoda: Latviešu
Līmenis: Augstskolas
Literatūras saraksts: Nav
Atsauces: Nav
Laikposms: 2000. - 2010. g.
Darba fragmentsAizvērt

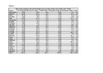
Praktiskajā darbā tika apskatīts bērza audžu platības Latvijas teritorijā 2004.gadā. Atlasot nepieciešamos datus no Valsts meža dienesta meža resursu datu bāzes, tika izveidotas dažādas tabulas. Lai atlasītā informācija būtu uzskatāmākā formātā, tika izveidoti grafiki. Darbā iegūtie rezultāti tika analizēti.
Visas tabulas iedalās trīs kategorijās – situācija valsts, pārējos un mežos kopā. Iegūtie rādītāji ir gan procentuāli, gan pēc bērza audžu platībām ha. Datu tabulās tika apskatīti šādi rādītāji:
Kādai meža tipu rindai pieder (slapjaiņi, sausieņi, purvaiņi, kūdreņi un āreņi,);
Kādai saimnieciskā vecuma grupai pieder (pāraugušas audzes, pieaugušas audzes, briestaudzes, vidēja vecuma audzes, jaunaudzes,);
Kādai auglības grupai pieder (oligotrofā, mezotrofā, eitrofā);
Kādam vecuma klases intervālam pieder.

Datu analīze

Latvijā bērza audžu kopējā aizņemtā teritorija ir 831771 ha. Valsts mežos vislielākās platības ir Liepājas rajona mežos - 27441,4ha un Aizkraukles rajonā - 22761,9 ha. Apskatot bērza audžu sadalījumu pārējos mežos var konstatēt, ka visvairāk ir Madonas rajonā - 35528,6 ha un Cēsu rajonā - 34284,4.Apskatot situāciju kopā pirmajā vietā tāpat kā valsts mežos ir Liepājas rajons ar bērza audžu platību 53369,8 ha un otrajā vietā Limbažu 50949,7 ha. Skatīt grafiku Bērza audžu platība( ha ) Latvijas rajonos 2005. g - Kopā. Vismazāk bērza audžu platības ir tādos rajonos kā Dobeles, Ogres, Bauskas, Preiļu un Jelgavas.…

Autora komentārsAtvērt
Parādīt vairāk līdzīgos ...

Atlants

Izvēlies autorizēšanās veidu

E-pasts + parole

E-pasts + parole

Norādīta nepareiza e-pasta adrese vai parole!
Ienākt

Aizmirsi paroli?

Draugiem.pase
Facebook

Neesi reģistrējies?

Reģistrējies un saņem bez maksas!

Lai saņemtu bezmaksas darbus no Atlants.lv, ir nepieciešams reģistrēties. Tas ir vienkārši un aizņems vien dažas sekundes.

Ja Tu jau esi reģistrējies, vari vienkārši un varēsi saņemt bezmaksas darbus.

Atcelt Reģistrēties