Pievienot darbus Atzīmētie0
Darbs ir veiksmīgi atzīmēts!

Atzīmētie darbi

Skatītie0

Skatītie darbi

Grozs0
Darbs ir sekmīgi pievienots grozam!

Grozs

Reģistrēties

interneta bibliotēka
Atlants.lv bibliotēka
Akcijas un īpašie piedāvājumi 2 Atvērt
3,49 € Ielikt grozā
Gribi lētāk?
Identifikators:398914
 
Autors:
Vērtējums:
Publicēts: 19.06.2019.
Valoda: Latviešu
Līmenis: Augstskolas
Literatūras saraksts: Nav
Atsauces: Nav
SatursAizvērt
Nr. Sadaļas nosaukums  Lpp.
1.1.  Ēkas arhitektūras apraksts    3
1.2.  Būvkonstrukciju apraksts    4
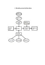
2.  Būvdarbu procesa kārtības shēma    5
3.  Darba organizēšana    6
4.  Darba aizsardzības plāns    8
5.  Montāžas slodžu shēmas būvniecības laikā    9
Darba fragmentsAizvērt

5. Montāžas slodžu shēmas būvniecības laikā
Ja būvniecības laikā rodas nepieciešamība veidot materiālu nokrautnes uz būvkonstrukcijām, tās izvietot izkliedēti tā, lai nepārsniegtu noslogoto būvkonstrukciju normatīvo nestspēju. Piepūles, kuras rodas no montāžas slodzēm un materiālu novietošanas uz konstrukcijām, nedrīkst pārsniegt piepūles, kas attiecīgajai konstrukcijai ir paredzētas ekspluatācijas laikā. Materiālu nokrautnes veidot tām paredzētajās vietās (sk. DOP-2). Būvgabals robežojas ar teritorijām kas netiks pakĜautas montāžas slodžu ietekmei projektētā objekta būvniecības laikā. Montāžas slodzes neietekmē esošās būves, jo tās atrodas pietiekošā attālumā.

6. Būvdarbu tehnoloģiskā secība
1. Koku un krūmu izzāģēšana
2. Esošās pamatnes nojaukšana
3. Zemes laukuma norakšana planēšana
4. Būvlaukuma nožogošana un asu nospraušana
5. Pagaidu ceļu un laukumu izveidošana, palīgēku izvietošana pagaidu inženiertīklu izveide
6. Ēkas pamatnes tranšeju rakšana
7. Pamatu un grīdas hidroizolācijas, siltinājuma montāža, armatūras siešana un betonēšana
8. Ēkas sienu mūrēšana, pārsedžu, pārsegumu un kāpņu montāža
9. Jumta konstrukcijas izveide

Autora komentārsAtvērt
Redakcijas piezīmeAtvērt
Parādīt vairāk līdzīgos ...

Atlants

Izvēlies autorizēšanās veidu

E-pasts + parole

E-pasts + parole

Norādīta nepareiza e-pasta adrese vai parole!
Ienākt

Aizmirsi paroli?

Draugiem.pase
Facebook

Neesi reģistrējies?

Reģistrējies un saņem bez maksas!

Lai saņemtu bezmaksas darbus no Atlants.lv, ir nepieciešams reģistrēties. Tas ir vienkārši un aizņems vien dažas sekundes.

Ja Tu jau esi reģistrējies, vari vienkārši un varēsi saņemt bezmaksas darbus.

Atcelt Reģistrēties