Pievienot darbus Atzīmētie0
Darbs ir veiksmīgi atzīmēts!

Atzīmētie darbi

Skatītie0

Skatītie darbi

Grozs0
Darbs ir sekmīgi pievienots grozam!

Grozs

Reģistrēties

interneta bibliotēka
Atlants.lv bibliotēka
4,49 € Ielikt grozā
Gribi lētāk?
Identifikators:744763
 
Vērtējums:
Publicēts: 29.11.2025.
Valoda: Latviešu
Līmenis: Augstskolas
Literatūras saraksts: Nav
Atsauces: Nav
Laikposms: 2021. - 2025. g.
Darba fragmentsAizvērt

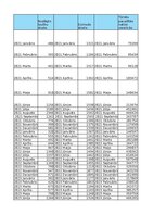
Apkopojums pa mēnešiem ADITĪVAIS Noslēgto laulību skaits Dzimušo skaits Tūristu pavadītās naktis viesnīcās Multiplikatīvā prognoze Aditīvā prognoze Izlīdzināšanas kļūda MULTIPLIKATĪVĀ
Janvāris -607,3333333 -208,1666667 -67533,08333 Noslēgto laulību skaits Dzimušo skaits Tūristu pavadītās naktis viesnīcās Noslēgto laulību skaits Dzimušo skaits Tūristu pavadītās naktis viesnīcās Noslēgto laulību skaits Dzimušo skaits Tūristu pavadītās naktis viesnīcās
Februāris -519,8333333 -275,9166667 -56031,83333 396,1191556 853,624415 317,6235328 382,75 810,6666667 -152456,75 9,880844382 467,375585 78971,37647

Autora komentārsAtvērt
Redakcijas piezīmeAtvērt
Darbu komplekts:
IZDEVĪGI pirkt komplektā ietaupīsi −9,77 €
Materiālu komplekts Nr. 1408589
Parādīt vairāk līdzīgos ...

Atlants

Izvēlies autorizēšanās veidu

E-pasts + parole

E-pasts + parole

Norādīta nepareiza e-pasta adrese vai parole!
Ienākt

Aizmirsi paroli?

Draugiem.pase
Facebook

Neesi reģistrējies?

Reģistrējies un saņem bez maksas!

Lai saņemtu bezmaksas darbus no Atlants.lv, ir nepieciešams reģistrēties. Tas ir vienkārši un aizņems vien dažas sekundes.

Ja Tu jau esi reģistrējies, vari vienkārši un varēsi saņemt bezmaksas darbus.

Atcelt Reģistrēties