-
Mijattiecības un attiecības
Starppersonu attiecībās nozīmīga ir empātijas spēja.
Empātija ir intuitīvs izpratnes veids bez apdomāšanās, kad emocionālā iejaukšanās otrā cilvēkā uzreiz izraisa attiecīgu rīcību. Empātija cilvēkam piemīt jau kopš bērnības, tad arī to visvairāk izmantojam. Kļūstot vecāki mēs aizvien biežāk iedarbinām šo percepcijas mehānismu. Mums nav laika un vēlēšanās, arī iespēju empātiski saprast katru, ar ko mēs kontaktējamies, jo mums ir daudz savu problēmu. Tādējādi mēs zaudējam savu jūtīgumu. Cilvēki var būt empātiski dažādā līmenī.
N.Obozovs izšķir kognitīvās, emocionālās un darbīgās empātijas līmeņus.
Kognitīvā empātija – vienkāršākā empātijas forma. Cilvēks saprot partnera situāciju un emocionālo stāvokli, bet nemaina savējo. Emocionālajai empātijai raksturīgs tas, ka ar partneri notiekošais ne tikai tiek saprasts, bet arī izraisa mūsos emocionālu atbalsi.
Ir divas emocionālās empātijas formas: egoistiskā – līdzpārdzīvojums – un altruistiskā – līdzjūtība. Līdzpārdzīvojums ir vienkāršākā emocionālās empātijas forma. Tās pamatā ir egoistiska vajadzība pēc savas labklājības. Savukārt līdzjūtība ir augstākā emocionālās empātijas forma. Tās pamatā i rūpes par otra cilvēka labklājību. Līdzjūtība ir jau pārejas forma uz darbīgo empātiju. Darbīgā empātija ir augstākā empātijas forma, kas ietver sevī kognitīvo, emocionālo un uzvedības komponentu. Empātija uzlabo cilvēku attiecības, sekmē sadarbību, jo balstās uz dziļu partnera izpratni.
Tātad stereotipizācijai un empātijai nav nekā kopīga, gluži otrādi – tās ir absolūti atšķirīgas pieejas, kas tiek izmantotas priekšstata veidošanā par partneri. Par empātiju var teikt, ka tā ir kaut kādā mērā „iejušanās partnera ādā”, turpat stereotipizācijas automātiski izslēdz šādu iespēju, iedarbinot klasifikācijas mehānismu, kas atbilstoši uzkrātajai dzīves pieredzei un uzskatiem piešķir partnerim to vai citu stereotipu, nemaz nemēģinot analizēt viņa uzvedības cēloņus, tos attiecinot uz sevi līdzīgā situācijā.
Starppersonu attiecības ietekmē kļūdas, kas rodas, uztverot citus cilvēkus. Plašāk novērojamas ir šādas pirmā iespaida kļūdas:
• nevienlīdzības kļūda. Tā parādās tāpēc, ka mēs, satikuši cilvēku, kurš ir pārāks par mums kādā mums svarīgā parametrā, parasti pārvērtējam šo cilvēku, attiecinot šo pārākumu arī uz citām viņa iezīmēm. Toties, ja konstatējam savu pārākumu mums nozīmīgajā parametrā, tad parasti partneri nenovērtējam arī citos. Uztveres kļūda rodas tāpēc, ka pārākums tiek konstatēts tikai vienā parametrā, bet pārvērtējums vai nenovērtējums – daudzos;
• cilvēka ārējais estētiskais pievilcīgums. Bieži vien uztveres kļūdas rodas, tāpēc, ka partneri, kurš mums ir estētiski pievilcīgs, mēs pārvērtējam daudzos parametros un cilvēks mums šķiet arī labāks, gudrāks un interesantāks par ārēji nepievilcīgo;
• attieksme pret mums. Droši vien visi piekritīs, ka cilvēki, kas mūs mīl, labi pret mums izturas, mums šķiet labāki par tiem, kas pret mums izturas slikti vai pat ienīst. Šis faktors maina cilvēka īpašību novērtējumu atkarībā no tā, kā pret mums izturas – pozitīvi vai negatīvi. Pozitīva attieksme pret mums izraisa stipru tendenci piedēvēt partnerim labās īpašības un neievērot (piedot) viņa sliktās īpašības. Un otrādi – partnera pozitīvās īpašības un pārvērtēt negatīvās.
…
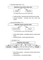
Mijattiecībās apskatīti sekojoši jēdzieni: Sabiedriskās attiecības; Starppersonu attiecības; Vienpusējas pazīšanas mijattiecības; Mijiedarbība (konkurencē, sadarbībā); Sociālā loma; Starppersonu lomas; Individuālā loma; Psiholoģiskajās pozīcijās; EGO pozīcija (bērna, vecāku, pieaugušā); Transakciju veidi. Attiecībās apskatīti sekojoši jēdzieni: Starppersonu attiecības; Psiholoģiskās savienojamības 3 līmeņi; Stereotipizācija; Empātija un tās līmeņi; Pirmā iespaida kļūdas.
- Komunikācija pirmajā dzīves posmā, tās nozīme
- Mijattiecības un attiecības
- Sodīta cilvēka apraksts un intervija
-
Tu vari jebkuru darbu ātri pievienot savu vēlmju sarakstam. Forši!Sodīta cilvēka apraksts un intervija
Konspekts augstskolai2
-
Komunikācija pirmajā dzīves posmā, tās nozīme
Konspekts augstskolai3
-
Sociālās attiecības
Konspekts augstskolai3
-
Skolēna sociālās izpētes anketa klases audzinātājiem
Konspekts augstskolai2
-
Ē.Fromms "Mīlestības māksla"
Konspekts augstskolai1

