-
Mazā uzņēmuma ekonomika un plānošana
| Nr. | Sadaļas nosaukums | Lpp. |
| IEVADS | 6 | |
| 1.1. | Mazā uzņēmuma pazīmes un raksturojums | 8 |
| 1.2. | Mazā uzņēmējdarbība Latvijā | 12 |
| 1.3. | Mazā uzņēmuma līdzekļi | 17 |
| 1.3.1. | Pamatlīdzekļi | 17 |
| 1.3.2. | Apgrozāmie līdzekļi | 19 |
| 1.4. | Mazā uzņēmuma plānošanas īpatnības | 21 |
| 2.1. | SIA “Aļta” vispārīgais raksturojums | 30 |
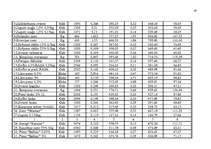
| 2.2. | Preču cenu,sortimenta un piegādātāju analīze | 32 |
| 2.3. | Bilances analīze | 34 |
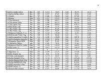
| 2.4. | Peļņas un zaudējumu analīze | 36 |
| 2.5. | SIA “Aļta” finansiālo rādītāju analīze | 38 |
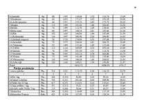
| 2.6. | Preču sortimenta paplašināšana | 41 |
| 2.7. | Naudas līdzekļu plānošana | 44 |
| NOBEIGUMS | 54 | |
| BIBLIOGRĀFISKAIS SARAKSTS | 56 | |
| PIELIKUMI | 58 |
Latvijas tirgus ekonomikā mazajiem uzņēmumiem pastāv aktuālā problēma – saglabāt savu vietu tirgū, attīstīties un pilnveidoties mūsdienu prasībām, kā arī paaugstināt savas uzņēmējdarbības efektivitāti.
Lielāko uzņēmējdarbības sektoru Latvijā veido mazie un vidējie uzņēmumi. Mazie uzņēmumi galvenokārt nodarbojas ar tirdzniecību vai nelielu ražošanu.
Tirgus apstākļos spēj izdzīvot tikai tāds uzņēmums, kas prasmīgāk un kompetentāk pielāgosies tirgus prasībām, organizēs un plānos savu saimniecisko darbību, produkcijas ražošanas attīstību, tirdzniecību un pakalpojumu sniegšanu.
Bakalaura darba tēma ir “Maza uzņēmuma ekonomika un plānošana”, kam par objektu kļuva neliela komercfirma – pārtikas veikals Liepājā.
Darba mērķis ir apskatīt maza uzņēmuma ekonomiku un plānošanu. Šo mērķu sasniegšanai darbā tiek risināti šādi uzdevumi:
Izanalizēt mazu uzņēmējdarbību Latvijā
Apskatīt maza uzņēmuma līdzekļu
Apskatīt maza uzņēmuma plānošanas procesu
Uzņēmuma saimnieciskās darbības finansu ekonomiskā analīze
Pamatojoties uz uzņēmuma darbības analīzes rezultātiem veikt plānošanu nākamajām gadam
Bakalaura darba objekts ir SIA “Aļta”, kas nodarbojas ar pārtikas produktu mazumtirdzniecību.
Bakalaura darba izstrādāšanas laikā tika izmantoti Latvijas Republikas likumi un normatīvie akti, vispārējā un speciālā literatūra, periodiskie izdevumi ekonomikas jomā, pētījumi un SIA “Aļta” dati par finansu darbību.
Dotā bakalaura darbā ietvaros nav paredzēts izpētīt visas SIA “Aļta” uzņēmējdarbības puses. Tā komercfirmas darbība nav aplūkota no mārketinga viedokļa. SIA “Aļta” darbības analīze tika ierobežota izmantojot trīs gadu finansu rādītājus.
Bakalaura darbā tika izmantotas sekojošas metodes:
1)ieņēmumu, izdevumu, bilances un peļņas un zaudējumu aprēķina horizontālās un vertikālās analīzes;
2)lineārā metode pamatlīdzekļu nolietojuma aprēķināšanā
Darbs sastāv no 2 daļām : analītiskās un pētījumu un aprēķinu daļas. Analītiskajā daļā tiek pētīta maza uzņēmējdarbība, gan kopumā, gan izskatot atsevišķa maza uzņēmuma ekonomiku un plānošanu. Pētījumu un aprēķinu daļā tiek pētīti uzņēmuma sortiments, bilance, peļņas un zaudējumu rādītāji, kā arī tiek novērtēti finansiālie rādītāji. Analīze tiek veikta par 3 gadu periodu: 1999.,2000.,2001. gg. tiek izstrādāts plāna nākamajam gadam.
Uzņēmējdarbības attīstību Latvijā ievērojami ietekmēja ekonomisko reformu gaita un likumdošanas bāzes attīstība. Mazo uzņēmumu sektors Latvijā pakāpeniski pieaug un iesaistās ekonomikas apritē, palielinot vietējo resursu izmantošanu un veicinot valsts ekonomisko izaugsmi. Mikro uzņēmumi veido 77% no kopējā uzņēmumu skaita, bet mazie – 18%, tajos strādā aptuveni 50% nodarbināto iedzīvotāju, pēc ekonomikas ministrijas novērtējuma – tie rada līdz pat 40% no iekšzemes kopprodukta un sniedz nozīmīgu ieguldījumu valsts budžeta veidošanā un nodarbinātības problēmas risināšanā. Laikposmā no 1991.-2001.gadam mazie un vidējie uzņēmumi radīja vairāk nekā 300 tūkstošu jaunu darba vietu.[1,19.lpp.]
Attīstītajās valstīs mazie uzņēmumi veido tirgus ekonomikas mugurkaulu. Tie nodrošina tautsaimniecības izaugsmes pamatu, rada 70-90% no visām jaunradītajām darba vietām , pie kam tieši mikrouzņēmumi rūpniecībā nodarbina no 75% līdz 85% no visiem nodarbinātājiem valsts iedzīvotājiem. Vel lielāka mazo uzņēmumu nozīme ir lauku iedzīvotāju nodarbinātībā, bet uzņēmējdarbības dažādošana un jaunu veidu attīstība ir nozīmīgs reģionālās attīstības faktors. Mazo uzņēmumu devums ir līdz pat 80% no jaunās produkcijas, salīdzinot ar lielajiem uzņēmumiem. Straujāku inovāciju procesu mazos uzņēmumos nosaka elastīgāka darba motivācija, relatīvi mazākas ir darba izmaksas, mērķtiecīgāka orientācija uz gala rezultātu, sasniedzot augstāku uzņēmuma darbības efektivitāti; spēja uzņemties augstāku riska pakāpi un spēja ātrāk pielāgoties dinamiska tirgus prasībām.
Ne mazāk svarīgi ir tas, ka mazie uzņēmumi veicina vidusslāņa veidošanos, kas, savukārt, stabilizē sabiedrību, atbrīvo lielos uzņēmumus no tiem neraksturīgu funkciju veikšanas un ietekmē “ēnu” ekonomikas un “melna tirgus” samazināšanos. Nabadzīgā valstī demokrātija ir izkropļota un lielāka daļa iedzīvotāju ir trūcīgi. Tādēļ pārejas periodā uz tirgus ekonomiku mērķtiecīga jauno privāto uzņēmumu veidošana Latvijā jāuzskata par vienu no visnozīmīgākajiem faktoriem.…
Diplomdarbs. Atzīme 10.
- Kredītmenedžmenta nepieciešamība uzņēmumā
- Mazā uzņēmuma ekonomika un plānošana
-
Uzņēmuma – kredītņēmēja finanšu stāvokļa novērtējums
Diplomdarbs72 Uzņēmējdarbība, Ekonomika, Bankas, finanses, vērtspapīri
-
Tu vari jebkuru darbu ātri pievienot savu vēlmju sarakstam. Forši!Kredītmenedžmenta nepieciešamība uzņēmumā
Diplomdarbs augstskolai79
Novērtēts! -
Uzņēmuma – kredītņēmēja finanšu stāvokļa novērtējums
Diplomdarbs augstskolai72
Novērtēts! -
Biroja darba organizācija Krievijas - Latvijas uzņēmumā "Veleks"
Diplomdarbs augstskolai47
-
Uzņēmuma „X” darbības pilnveidošana
Diplomdarbs augstskolai95
Novērtēts! -
Uzņēmuma ienākuma nodoklis. Tā administrēšana un problēmas Latvijā
Diplomdarbs augstskolai53
Novērtēts!

