-
Бизнес план
| Nr. | Sadaļas nosaukums | Lpp. |
| РЕЗЮМЕ | 2 | |
| ВВЕДЕНИЕ | 4 | |
| 1. | ОСНОВНЫЕ ДАННЫЕ О ПРЕДПРИЯТИИ | 5 |
| 1.1. | Полное название предприятия | 5 |
| 1.2. | Основной капитал предприятия | 5 |
| 1.3. | Месторасположение студии-магазина | 5 |
| 1.4. | Основной вид деятельности студии-магазина | 5 |
| 1.5. | Спектр предполагаемых услуг | 5 |
| 1.6. | Управление и персонал | 6 |
| 2. | ОПИСАНИЕ ПРЕДОСТАВЛЯЕМОЙ УСЛУГИ | 9 |
| 3. | МАРКЕТИНГОВЫЙ ПЛАН | 10 |
| 3.1. | SWOT – анализ | 10 |
| 3.2. | Анализ конкурентного окружения | 11 |
| 3.3. | Ценообразование | 11 |
| 3.4. | Активизация продажи услуг | 11 |
| 4. | ПРОИЗВОДСТВЕННЫЙ ПЛАН | 12 |
| 4.1. | Расположение | 12 |
| 4.2. | Помещение | 12 |
| 4.3. | Оборудование | 12 |
| 4.5. | Исследование целевого рынка | 16 |
| 5. | ОЦЕНКА РИСКОВ | 17 |
| 5. | ФИНАНСОВЫЙ ПЛАН | 18 |
| 5.1. | Источники финансирования | 18 |
| 5.2. | Смета первоначальных затрат | 18 |
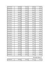
| 5.3. | Планируемые доходы | 21 |
| ВЫВОДЫ | 30 | |
| СПИСОК ИСТОЧНИКОВ И ИСПОЛЬЗОВАННОЙ ЛИТЕРАТУРЫ | 31 |
ВЫВОДЫ
Бизнес-план – необходимый элемент эффективной деятельности фирмы на рынке.
Рассмотрев цели и сущность планирования, а также различные аспекты
практики составления бизнес – плана, можно сделать вывод, что бизнес – план является эффективным инструментом управления, который помогает фирме определить перспективы своего дела, контролировать текущую ситуацию.
План даёт основу для принятия рациональных решений, позволяет оформит и анализировать интуитивные предложения.
Анализ нашей деятельности с помощью бизнес-плана показал следующее:
организация данной студии выгодна;
точка безубыточности примерно на 20000.00 лат ниже нашего нетто оборота, из чего следует, что наш проект даже на начальной стадии является рентабельным;
данное предприятие должно начать окупать себя уже в январе 2011 года.
В будущем 2011 году студия-магазин планирует начать работать при 100% загруженности мастеров, что даст хорошую прибыль учредителю и возможность расширения бизнеса и усовершенствования качества предоставляемых услуг.
…
Данная работа планирует основать студию-магазин дизайна ногтей, где будет предоставлен ряд услуг, таких как: маникюр; педикюр;наращивание и дизайн ногтей;спа-процедуры;средства по уходу за ногтями, кожей рук и ног. Выбор деятельности предприятия основан тем, что в городе не так много студий-магазинов дизайна ногтей, предоставляющих услуги ориентированные на один вид деятельности, поэтому можно сделать вывод, что конкуренция в этой отрасли не будет слишком велика. Важное значение имеет место, где будет располагаться салон. У выбранного места должно быть хорошее транспортное сообщение с центром, большая проходимость, соседство учреждений, которые посещает большое количество людей, а также необходимо учесть социальный статус, проживающих и работающих в округе людей. Для определения всех этих пунктов необходимо разработать бизнес-план студии-магазина. Бизнес-план является рабочим инструментом, используемым во всех сферах предпринимательства. Бизнес-план описывает процесс функционирования фирмы, показывает, каким образом её руководители собираются достичь своих целей и задач. Хорошо разработанный бизнес-план помогает фирме расти, завоёвывать новые позиции на рынке, где она функционирует, составлять перспективные планы своего развития.
-
Tu vari jebkuru darbu ātri pievienot savu vēlmju sarakstam. Forši!Бизнес-план "Фаст-фото"
Biznesa plāns augstskolai35
-
Организация кафе быстого обслуживания
Biznesa plāns augstskolai26
-
Бизнес-план
Biznesa plāns augstskolai13
-
Бизнес план/курсовая
Biznesa plāns augstskolai9
-
SIA "REHAU"
Biznesa plāns augstskolai7

