-
Ciparu signālu procesori
-
Ciparu signālu procesori
AugstskolaPrezentācija23 -
Perspektīvas konstruēšanas paņēmieni
AugstskolaPrezentācija20 -
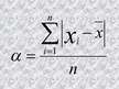
Variācijas rādītāji nesagrupētiem un sagrupētiem rādītājiem
AugstskolaPrezentācija65
Ciparu signālu procesori
Faila izmērs:
6941 KB
Identifikators:
1333180



















































































































